Ответы
Ответ дал:
0
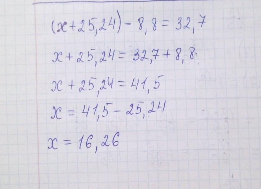
x + 25,24 - 8,80 = 32,70
x = 32,70 - 25,24 + 8,80
x = 16,26
Ответ дал:
0
Пошаговое объяснение:
Вот тебе ответ.........
Приложения:

Вас заинтересует
2 года назад
3 года назад
3 года назад
8 лет назад
9 лет назад