• Предмет: Математика
  • Автор: nastalazaruk14
  • Вопрос задан 7 лет назад

Решите пожалуйста
Зайди частку:
1 3/13 : 8/39;
2 4/5 : 2 1/3

Ответы

Ответ дал: FbifMillenium
0

Ответ:

1) 1 3/13 : 8/39=

1\frac{3}{13}:\frac{8}{39}  =\frac{13*1+3}{13}:\frac{8}{39} =\frac{16}{13}:\frac{8}{39} =\frac{16}{13}*\frac{39}{8} =\frac{2}{13}*39=\frac{78}{13}=6.

2) 2 4/5 : 2 1/3=

2\frac{4}{5}:2\frac{1}{3}=\frac{5*2+4}{5} :\frac{3*2+1}{3} =  \frac{14}{5} :\frac{7}{3} =\frac{14}{5} *\frac{3}{7}=\frac{2}{5}*3=\frac{6}{5}=1\frac{1}{5}    или    1,2.

Ответ дал: frequencyqq
0

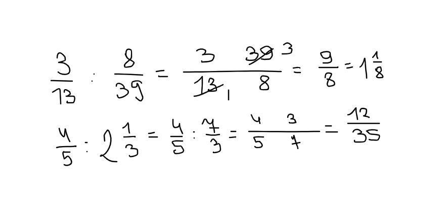
Надеюсь понятно

sbdjhbahjsbdajhshjdbjhqga (чтобы пропустила система)

Приложения:
Вас заинтересует