• Предмет: Алгебра
  • Автор: PyshkaBaBe
  • Вопрос задан 7 лет назад

(4 кррень5+5корень 2) ²​

Ответы

Ответ дал: dashulka22222
0

Ответ:

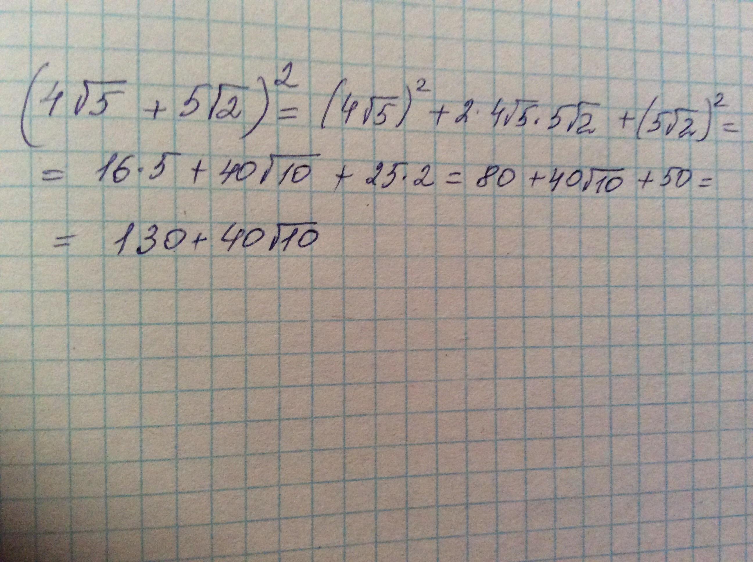
(4√5+5√2)²=16*5+2*4√5*5√2+25*2=80+40√10+50=130+40√10

Объяснение:

Ответ дал: Evreika77
0

Ответ:

Объяснение:

Смотри вложение

Приложения:
Вас заинтересует