• Предмет: Математика
  • Автор: devkaDino
  • Вопрос задан 7 лет назад

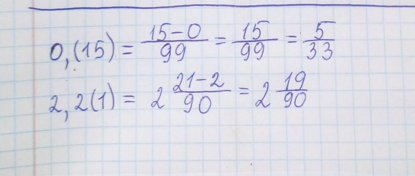
перевести переодическую дробь 0.(15) 2.2(1)

ОЧЕНЬ СРОЧНО​

Ответы

Ответ дал: Elena3982
0

Пошаговое объяснение:

Вот тебе ответ...........

Приложения:
Вас заинтересует