• Предмет: Математика
  • Автор: antonovmatvej273
  • Вопрос задан 7 лет назад

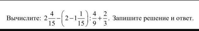
Помогите пж 20 баллов даю​

Приложения:

Ответы

Ответ дал: malinovskaaeva00
1

Ответ:

5/6

Пошаговое объяснение:

photomath. даже наша математика пользуется

Приложения:
Ответ дал: galaxy875ffghs
0

Пошаговое объяснение:

сосаса сосаасааа ☺ және басқа елді мекен бар го және басқа елді мекен бар го және басқа елді мекен бар го және басқа

Вас заинтересует