• Предмет: Математика
  • Автор: Kseniakorea
  • Вопрос задан 7 лет назад

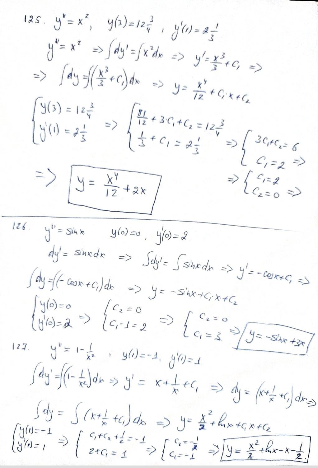
Помогите пожалуйста решить эти 3 номера!! Даю 20 баллов!!!!
Нужно решить методом Коши для следующих уравнений:

Приложения:

Ответы

Ответ дал: NurbekNarzillaev
2

Ответ: 125) y=\dfrac{x^{4}}{12}+2x,  126) y=-sinx+3x, 127) y=\dfrac{x^{2} }{2}+lnx-x-\frac{1}{2}

Пошаговое объяснение:

Приложения:
Вас заинтересует