• Предмет: Алгебра
  • Автор: danyazeml31
  • Вопрос задан 7 лет назад

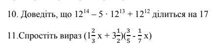
ДАЮ 100 БАЛЛОВ! НО ТОЛЬКО РЕШИТЕ УМОЛЯЯЮЮЮ!!!!

Приложения:

Ответы

Ответ дал: abdmalikmeruert
1

10) \\  = 757868538101767 \\ 11) \\  =  \frac{1}{2} x -  \frac{5}{21}  {x}^{2}  +  \frac{21}{10}

я только ответь пишеш


danyazeml31: спасибо большое
Вас заинтересует