• Предмет: Геометрия
  • Автор: jvfryhbhjjj
  • Вопрос задан 7 лет назад

помогитеееееее пожалуйста

Приложения:

Ответы

Ответ дал: amanda2sempl
0

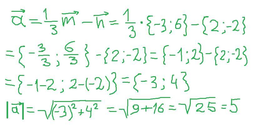
Координаты вектора а = {-3 ; 4} (точнее говорить компоненты, ведь координаты относятся к точкам, но ладно), длина вектора а: |a| = 5

Приложения:
Вас заинтересует