• Предмет: Математика
  • Автор: sebinenesibli939
  • Вопрос задан 7 лет назад

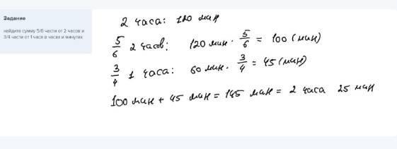
1)Найдите сумму ⅚ части от 2 часов и ¾ части от 1 часа в часах и минутах.
2)¾ части от 2 км больше или меньше 1км?Сначала сформируйте мнение ,а затем вычислите
3)⅖ части от 100л больше или меньше 50л
4)⅓части от 4часов больше или меньше 2часов?

Ответы

Ответ дал: Gomunkul12
0

Ответ:

2 часа 25 минут

Пошаговое объяснение:

Приложения:
Вас заинтересует