• Предмет: Математика
  • Автор: dd846347
  • Вопрос задан 7 лет назад

Помогите срочноооо
Умаляю ​

Приложения:

Ответы

Ответ дал: shlknpv
1

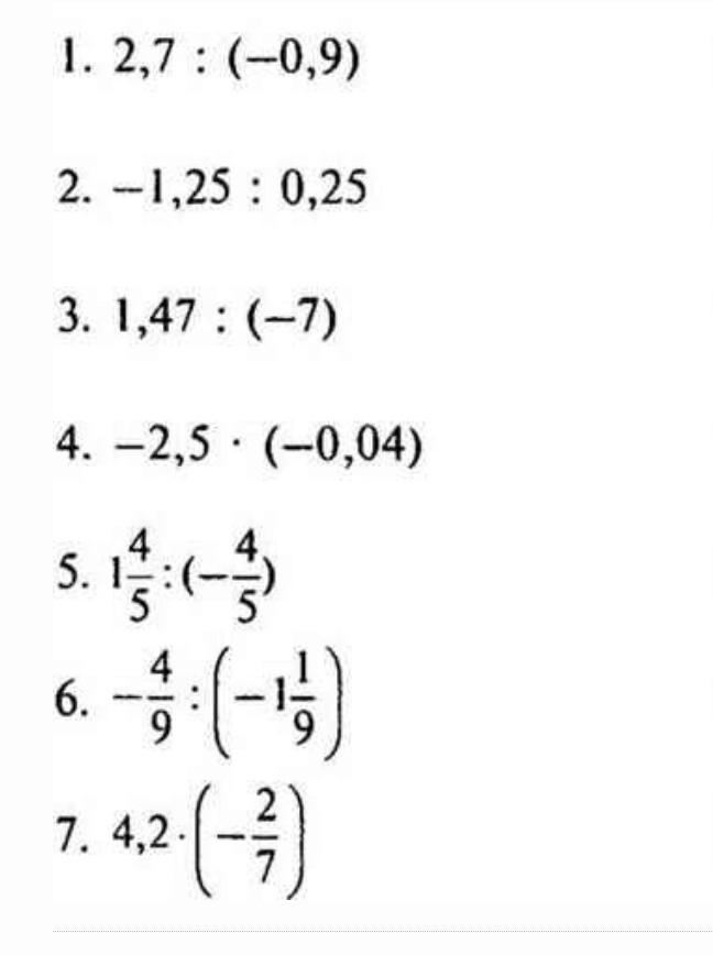
Ответ:

1. -3

2. -5

3. -0,21

4. 0,1

5. -9/4

6. 2/5

7. -6/5


dd846347: у меня ещё один вопрос есть можешь пожалуйста на него тоже ответит?
Ответ дал: Dinis553
0

Ответ:

1=-3

2=-5

3=-0,21

4=0,1

5=-9/4

6=2/5

7=-6/5

Вас заинтересует