• Предмет: Алгебра
  • Автор: Geh28b3veuwu
  • Вопрос задан 7 лет назад

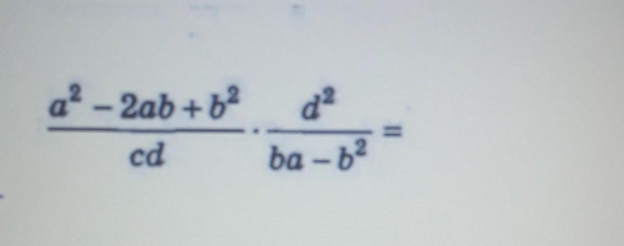
спасайте ребята .....​

Приложения:

Ответы

Ответ дал: ViktoriaPobloki
0

 \frac{a^{2}  - 2ab + b^{2}}{cd} \times  \frac{d^{2}}{ab - b^{2}} =  \frac{(a - b)^{2} \times d^{2}}{cd \times b(a - b)} =  \frac{(a - b)d}{cb}

Ответ дал: jmpwu
0

вот, ответы на фотке

Приложения:
Вас заинтересует