• Предмет: Математика
  • Автор: avassilyev15
  • Вопрос задан 7 лет назад

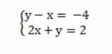
Решите систему уравнений графическим способом:

Приложения:

Ответы

Ответ дал: kleo59571
0

Ответ:

все на фото хорошо понятно

Приложения:
Вас заинтересует