• Предмет: Математика
  • Автор: gnas27603
  • Вопрос задан 7 лет назад

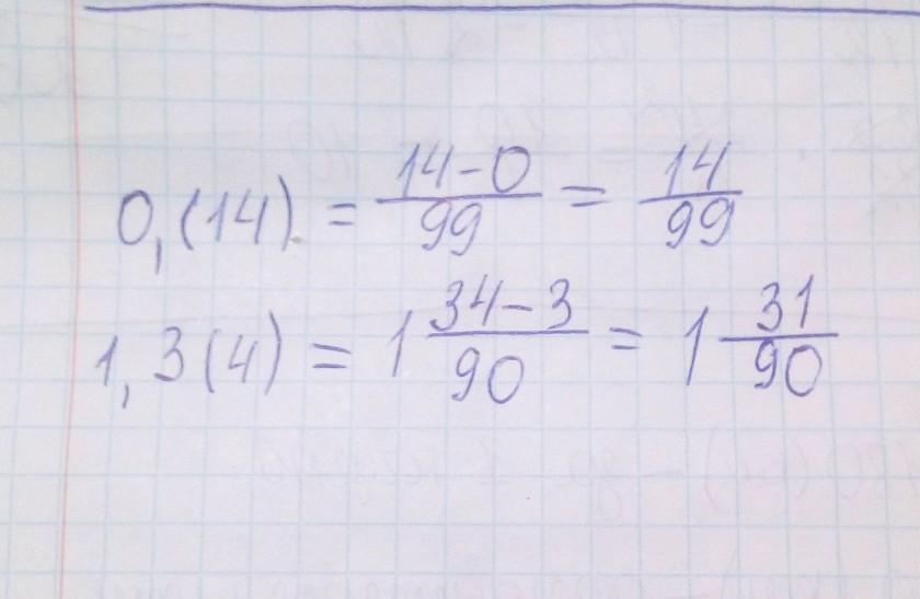
Задание No 3 Переведите периодическую десятичную дробь І в обыкновенную: a) 0,(14) 1,3(4) ​


jekadva: a) 0,(14) = 14/99 ; 1,3(4)= 1 31/90

Ответы

Ответ дал: Elena3982
0

Пошаговое объяснение:

Тримай свою відповідь.

Приложения:
Вас заинтересует