ПОМОГИТЕ СРОЧНО!!!!!!!!!!!!!!!!!!!!
Упростите выражение . Запишите подробное решение.
Приложения:

Ответы
Ответ дал:
1
Ответ:
разложите на множители
Объяснение:
Приложения:

Аноним:
помоги с алгеброй пожалуйста
Ответ дал:
0
Ответ:
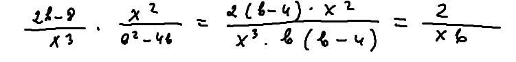
2/bx
Объяснение:
2(b-4)\x*1\b*(b-4)
2\x*1\b
2/bx
Вас заинтересует
2 года назад
3 года назад
3 года назад
8 лет назад
8 лет назад