• Предмет: Алгебра
  • Автор: Воложанинова
  • Вопрос задан 11 лет назад

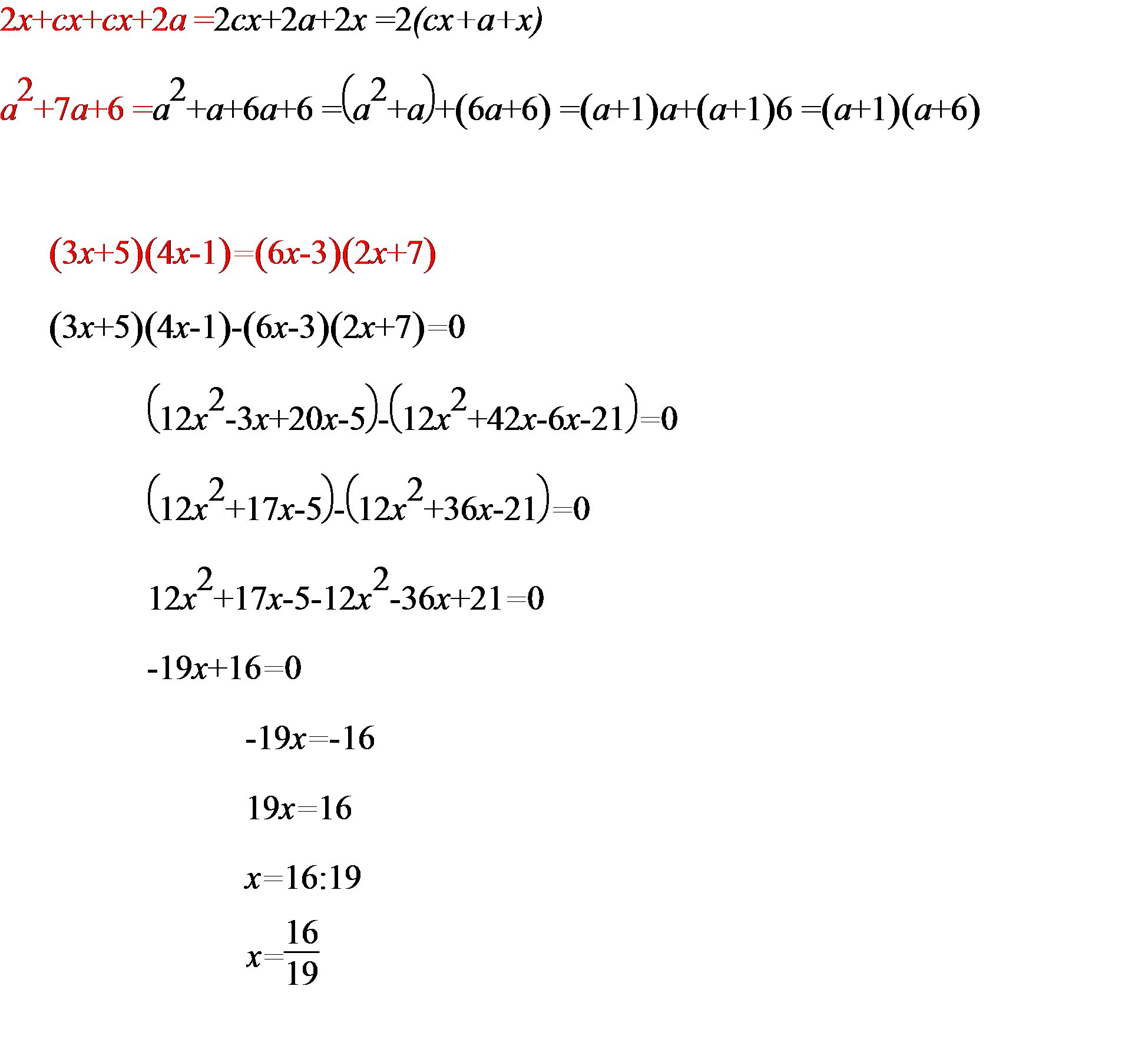
Решите уравнение:
(3x+5)(4x-1)=(6x-3)(2x+7)
Разложите на множители:
a) 2x+cx+cx+2a
б) a²+7a+6

Ответы

Ответ дал: triolana
0

файл

--------------------------------------

Приложения:
Вас заинтересует