• Предмет: Алгебра
  • Автор: matveyemelyanov08
  • Вопрос задан 7 лет назад

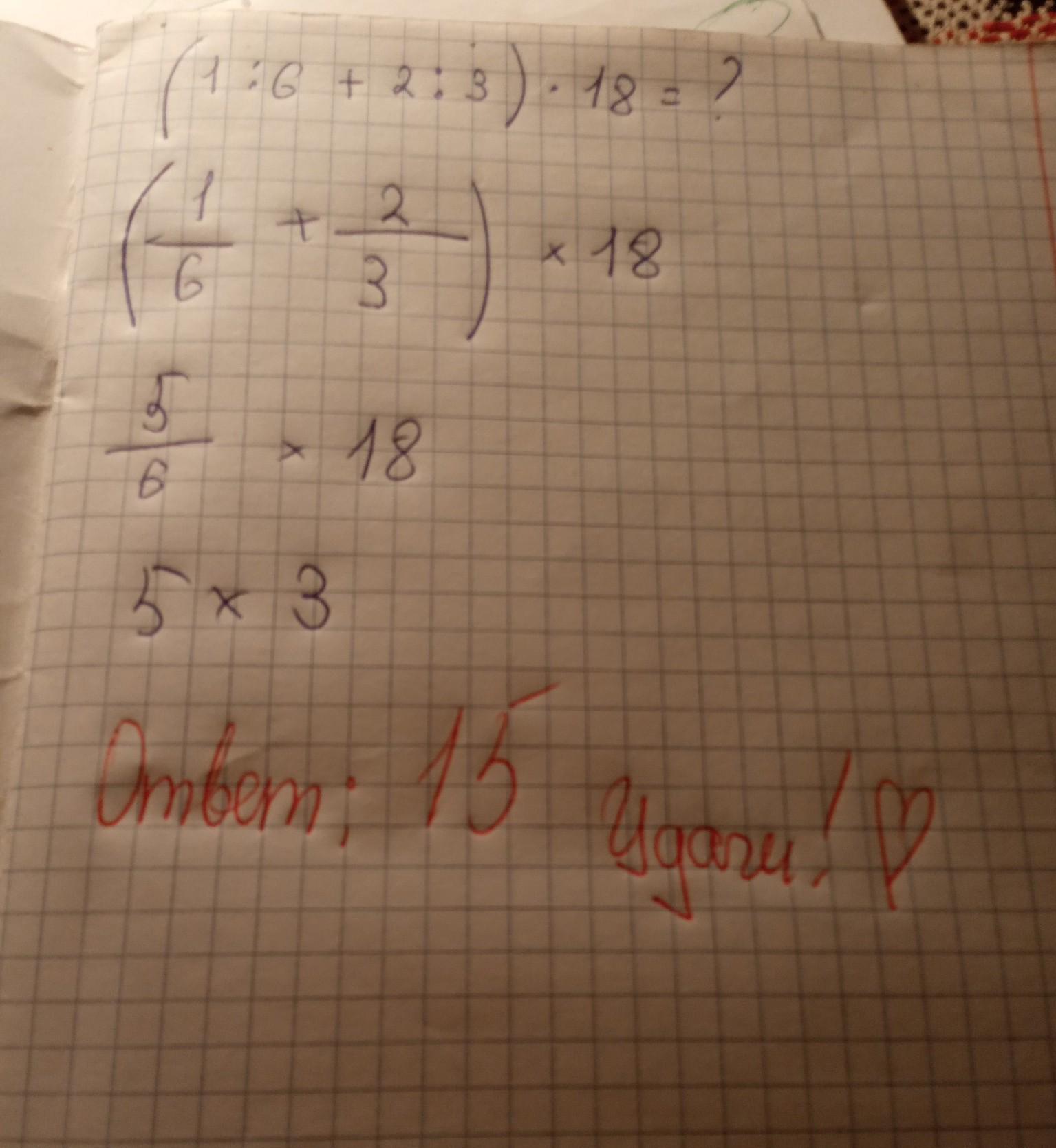
(1/6+2/3)*18=? Помогите

Ответы

Ответ дал: nurayismailzade2
1

Объяснение:

"лучший ответ пж!!!!!удачи!

Приложения:
Ответ дал: MilanaMelni
0

Объяснение:

.................................

Приложения:
Вас заинтересует