• Предмет: Алгебра
  • Автор: Shon2208
  • Вопрос задан 7 лет назад

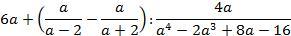
Помогите решить
Найдите численное значение выражения при a=-2,5
а)0,25
б)4,5
в)12
г)-0,25

Приложения:

Ответы

Ответ дал: anna1324657980
1

Ответ:

А)

Объяснение: Так нужно, там А.


Shon2208: А решение есть, интересно очень.
Вас заинтересует