• Предмет: Математика
  • Автор: bogdanz03
  • Вопрос задан 7 лет назад

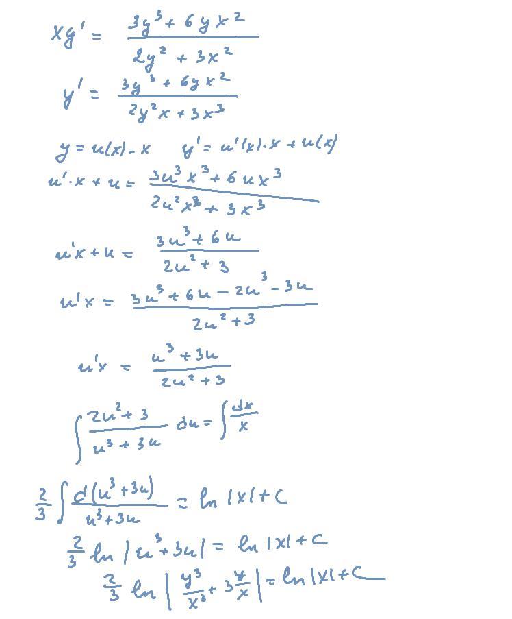
Здравствуйте, можете по подробнее расписать решение. ​

Приложения:

Ответы

Ответ дал: dashulka22222
1

Ответ:

Пошаговое объяснение:

Приложения:

Аноним: дайте номер, я помогу вам
bogdanz03: +77788789750
Аноним: тебе надо ещё решение
Аноним: а уже не надо наверное :(
Вас заинтересует