• Предмет: Алгебра
  • Автор: elizavetasabanova46
  • Вопрос задан 7 лет назад

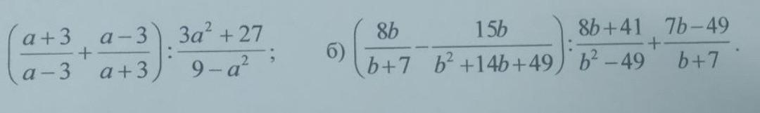
спростите два выражения по алгебре ​

Приложения:

Ответы

Ответ дал: sergeevaolga5
0

(\frac{a+3}{a-3}+\frac{a-3}{a+3}):\frac{3a^2+27}{9-a^2}=\frac{(a+3)^2+(a-3)^2}{(a-3)(a+3)}:\frac{3(a^2+9)}{(3-a)(3+a)}=\\\\=\frac{a^2+6a+9+a^2-6a+9}{(a-3)(a+3)}*\frac{(-1)(a-3)(a+3)}{3(a^2+9)}=\frac{(2a^2+18)*(-1)}{3(a^2+9)}=-\frac{2(a^2+9)}{3(a^2+9)}=-\frac{2}{3}

(\frac{8b}{b+7}-\frac{15b}{b^2+14b+49}):\frac{8b+41}{b^2-49}+\frac{7b-49}{b+7}=\\\\=(\frac{8b}{b+7}-\frac{15b}{(b+7)^2}):\frac{8b+41}{(b+7)(b-7)}+\frac{7b-49}{b+7}=\\\\=\frac{8b(b+7)-15b}{(b+7)^2}*\frac{(b+7)(b-7)}{8b+41}+\frac{7b-49}{b+7}=\\\\=\frac{(8b^2+56b-15b)(b-7)}{(b+7)(8b+41)}+\frac{7b-49}{b+7}=\\\\=\frac{(8b^2+41b)(b-7)}{(b+7)(8b+41)}+ \frac{7b-49}{b+7}=\\\\=\frac{b(8b+41)(b-7)}{(b+7)(8b+41)}+\frac{7b-49}{b+7}=\\\\=\frac{b(b-7)}{b+7}+\frac{7b-49}{b+7}=\\\\=\frac{b^2-7b+7b-49}{b+7}=

=\frac{b^2-49}{b+7}=\frac{(b-7)(b+7)}{b+7}=b-7

Вас заинтересует