• Предмет: Алгебра
  • Автор: dilnaz09krg42
  • Вопрос задан 7 лет назад

Решите графическим способом систему уравнений
ПОМОГИТЕ СРОЧНО ПОЖАЛУЙСТА!!!

Приложения:

Ответы

Ответ дал: Zombynella
1

Ответ:

В решении.

Объяснение:

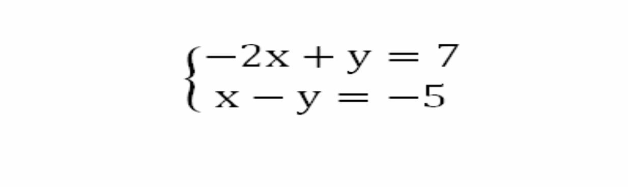
Решите графическим способом систему уравнений:

-2х + у = 7

х - у = -5

Построить графики. Графики линейной функции, прямые линии. Придать значения х, подставить в уравнение, вычислить у, записать в таблицу. Для  построения прямой достаточно двух точек, для точности построения определить три.

Прежде преобразовать уравнения в уравнения функций:  

              -2х + у = 7                                     х - у = -5

               у = 7 + 2х                                     -у = -5 - х

                                                                     у = 5 + х

               Таблица:                                     Таблица:

            х   -1     0     1                                  х   -1     0     1

            у    5     7    9                                  у   4     5     6

По вычисленным точкам построить прямые.

Координаты точки пересечения прямых: (-2; 3).

Решение системы уравнений: (-2; 3).

Приложения:
Вас заинтересует