• Предмет: Алгебра
  • Автор: bycarovarsenij
  • Вопрос задан 7 лет назад

Решить СЛАУ методом Гаусса ​

Приложения:

Ответы

Ответ дал: dashulka22222
1

Ответ:

метод Гаусса

Объяснение:

Приложения:
Ответ дал: Veronika724
1

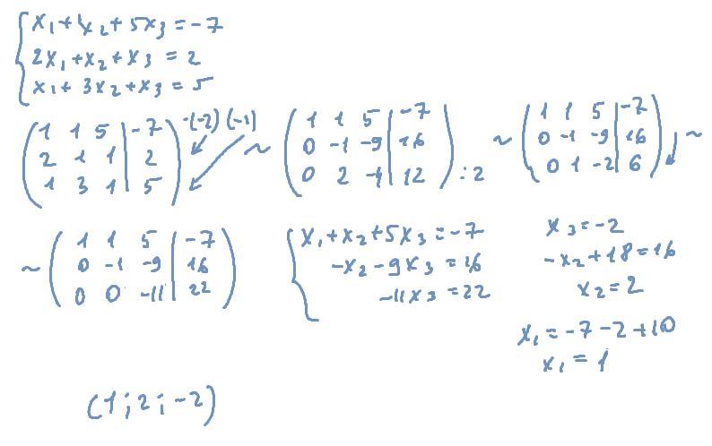
\begin{equation*}\begin{cases}x_1 + x_2 + 5x_3 = -7\\2x_1 + x_2 + x_3 = 2\\x_1 + 3x_2 + x_3 = 5\end{cases}\end{equation*}

\begin{pmatrix}  1& 1&5\Big|&-7\\  2& 1&1\Big|&2\\  1&3&1\Big|&5\end{pmatrix}

Первую строку оставляем без изменений. Вторую складываем с первой, умноженной на -2, результаты записываем во вторую. Из третьей строки вычитаем первую, результаты записываем в третью.

\begin{pmatrix}  1& 1&5\ \ \,\Big|&-7\\  0& -1&-9\Big|&16\\  0&2&-4\Big|&12\end{pmatrix}

Первую и вторую строки оставляем без изменений. Третью складываем со второй, умноженной на 2, результаты записываем во вторую.

\begin{pmatrix}  1& 1&5\ \ \,\,\,\Big|&-7\\  0& -1&-9\,\,\,\Big|&16\\  0&0&-22\Big|&44\end{pmatrix}

Переписываем третью строку в аналитическом виде.

-22x_3= 44\\\\\boxed{\boldsymbol{x_3 = -2}}

Значение одной переменной нашли. Переходим к следующей. Переписываем вторую строку в аналитическом виде.

-x_2-9x_3 = 16\\\\x_2 = -16-9x_3 = -16-9\cdot(-2) = -16 + 18 = 2\\\\\boxed{\boldsymbol{x_2 = 2}}

То же самое делаем с первой строкой.

x_1 + x_2 + 5x_3 = -7\\\\x_1 = -7 - x_2 - 5x_3 = -7-2 - 5\cdot(-2) = -7-2 + 10 = 1\\\\\boxed{\boldsymbol{x_1 = 1}}

Нашли значения всех трёх переменных.

Ответ: \left(x_1,\ x_2,\ x_3\right) = \left(1,\ 2,\ -2\right) .

Вас заинтересует