2 7/9(2/7×х+4/5+х)=4 1/2
Решите уравнение пж, спасибо заранее
timurka231205:
лучший ответ можно?
Ответы
Ответ дал:
1
Ответ:
427/1620
Пошаговое объяснение:
27/9 (2/7x+4/5+x)=41/2
3(2x/7+x+4/5)=41/2
3(9x/7+4/5)=41/2
27x/7+12/5=41/2
27x/7=41/2-12/5
27x/7=61/60
27x*60=61*7
x=427/1620
Ответ дал:
1
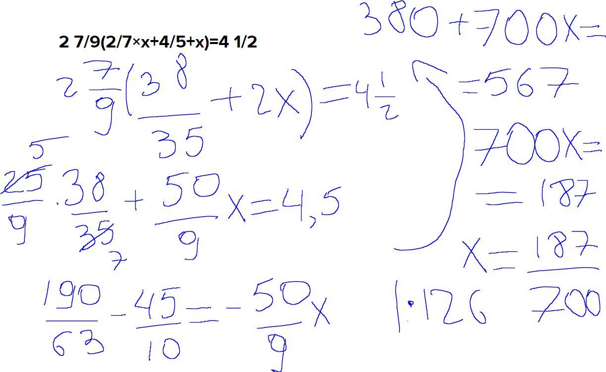
Прикрепил фото с решением.(см рисунок снизу)
Приложения:

Вас заинтересует
2 года назад
2 года назад
3 года назад
9 лет назад