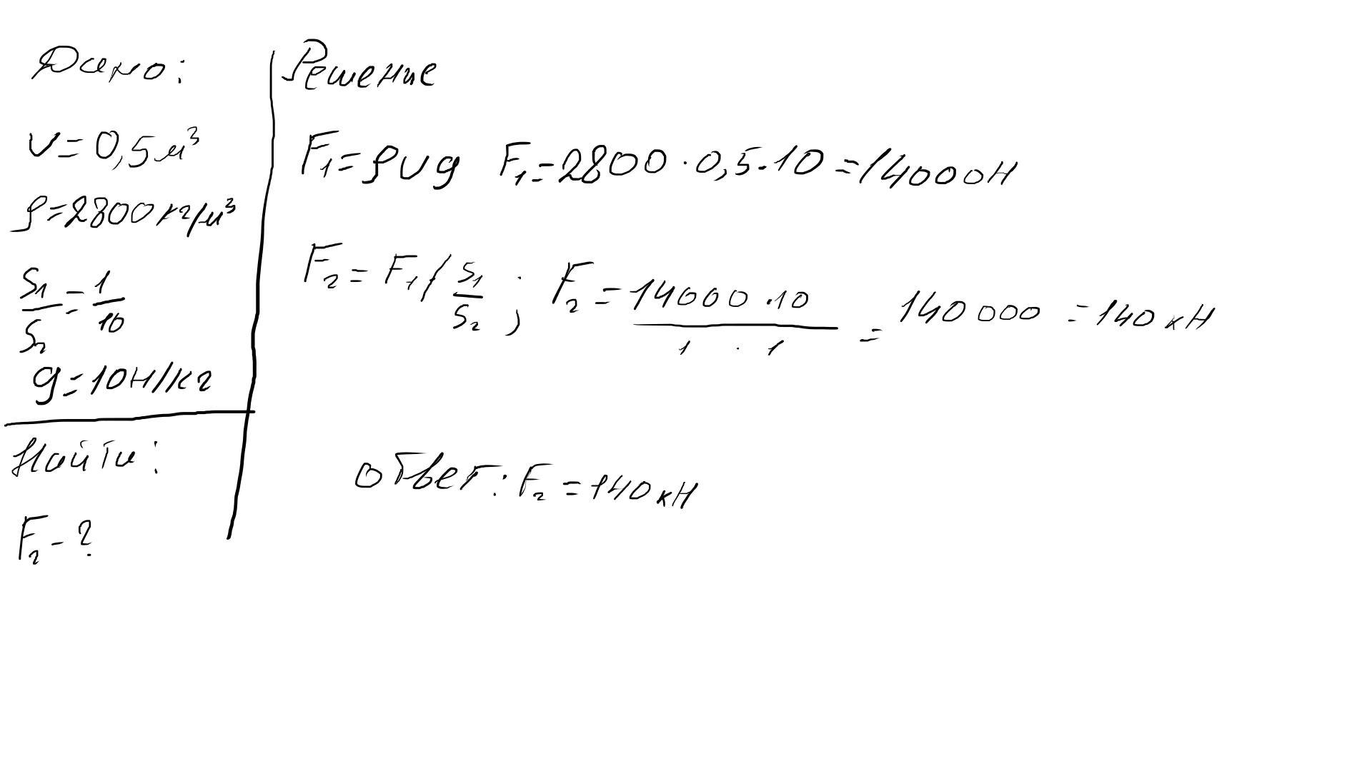
На меньший поршень гидравлического пресса положили тело объёмом 0,5 м³ и плотностью 2800 кг/м³ . Найдите силу , действующую на больший поршень, если его площадь в 10 раз больше площади меньшего поршня. Ускорение свободного падения 10 Н/кг
Приложения:
Ответы
Ответ дал:
1
Пиши комментарии если что-то не понятно
Приложения:
gulasalerkinzanova:
Спасибо большое
Вас заинтересует
2 года назад
2 года назад
3 года назад
3 года назад
9 лет назад
9 лет назад
10 лет назад
10 лет назад