• Предмет: Математика
  • Автор: lutikkris
  • Вопрос задан 7 лет назад

Помогите желательно расписать

Приложения:

Ответы

Ответ дал: bertramjeratire
1

Ответ:

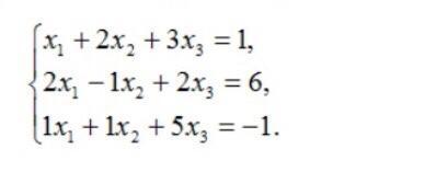
x_{1} + 2x_{2} + 3x_{3} = 1 \\ 2x_{1} - x_{2} + 3x_{3} = 6 \\ x_{1} + x_{2} + 5x_{3} =  - 1 \\  \\  \\ x_{1} + 2x_{2} + 3x_{3} = 1 \\ 2x_{1} - x_{2} + 3x_{3} = 6 \\ x_{1} =  - 1 - x_{2} - 5x_{3} \\  \\  \\ - 1 - x_{2} - 5x_{3} + 2x_{2} + 3x_{3} = 1 \\ 2(- 1 - x_{2} - 5x_{3}) - x_{2} + 3x_{3} = 6 \\  \\  \\ x_{2} - 2x_{3} = 2 \\  - 3x_{2} - 7x_{3} = 8 \\  \\  \\ 3x_{2} - 6x_{3} = 6 \\  - 3x_{2} - 7x_{3} = 8 \\  \\  \\  - 13x_{3} = 14 \\  \\ x_{3} =  -  \frac{14}{13}  \\  \\x_{2} - 2x_{3} = 2 \\ x_{2} - 2 \times ( -  \frac{14}{13})  = 2 \\ x_{2} +  \frac{28}{13}  = 2 \\ x_{2} =  -  \frac{2}{13}  \\  \\  \\ x_{1} =  - 1 - x_{2} - 5x_{3} \\ x_{1} =  - 1 - ( -  \frac{2}{13}) - 5 \times ( -  \frac{14}{13} ) \\ x_{1} =  - 1 +  \frac{2}{13}  +  \frac{70}{13}  =  \frac{59}{13}

x_{1} =  \frac{59}{13}  \:  \:  \:  \:  \:  \:  \:  \:  x_{2} =  -  \frac{2}{13}  \:  \:  \:  \:  \:  \:  \:  \:  \: x_{3} =  -  \frac{14}{13}

Вас заинтересует