• Предмет: Алгебра
  • Автор: alex06122003
  • Вопрос задан 7 лет назад

Уважаемые математики, нужна ваша помощь
Решите пожалуйста пошагово следующие задания:

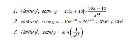
Приложения:

Ответы

Ответ дал: bertramjeratire
1

Ответ:

1)

y' = 13 \times  \frac{1}{2 \sqrt{ {(x + 13)}^{2} } }  \times 2(x + 13) - 38 \times  \frac{38 {x}^{12} }{ {( {x}^{13} )}^{2} }  - ( - 13 \times  \frac{14 {x}^{13} }{( {x}^{14})^{2}  }  =  \frac{13x + 169}{ |x + 13| }  -  \frac{494}{ {x}^{14} }  +  \frac{182}{ {x}^{15} }

2)

y' =  - 10e^{x + 8}  + 37 \times  {4}{x}^{3} + 13 \times 2 {x} =  - 10 {e}^{x + 8}  + 148 {x}^{3}  + 26x

3)

y' =  -  \frac{15 \cos( \frac{1}{ {x}^{15} } ) }{ {x}^{16} }


alex06122003: Спасибо, сможете решить еще одно подобное задание?
Вас заинтересует