• Предмет: Математика
  • Автор: pastushok2004
  • Вопрос задан 7 лет назад

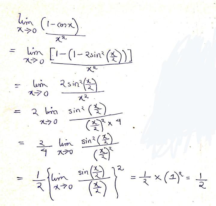
100 балів за обчислення 1 ліміту

Приложения:

Ответы

Ответ дал: IdleFri
0

Ответ:

решения на фото. не тратьте столько баллов на них. Из за количества награды ума не прибавится, а человек который может решить , сделает это и за 5 баллов.

Приложения:
Вас заинтересует