Ответы
Ответ дал:
0
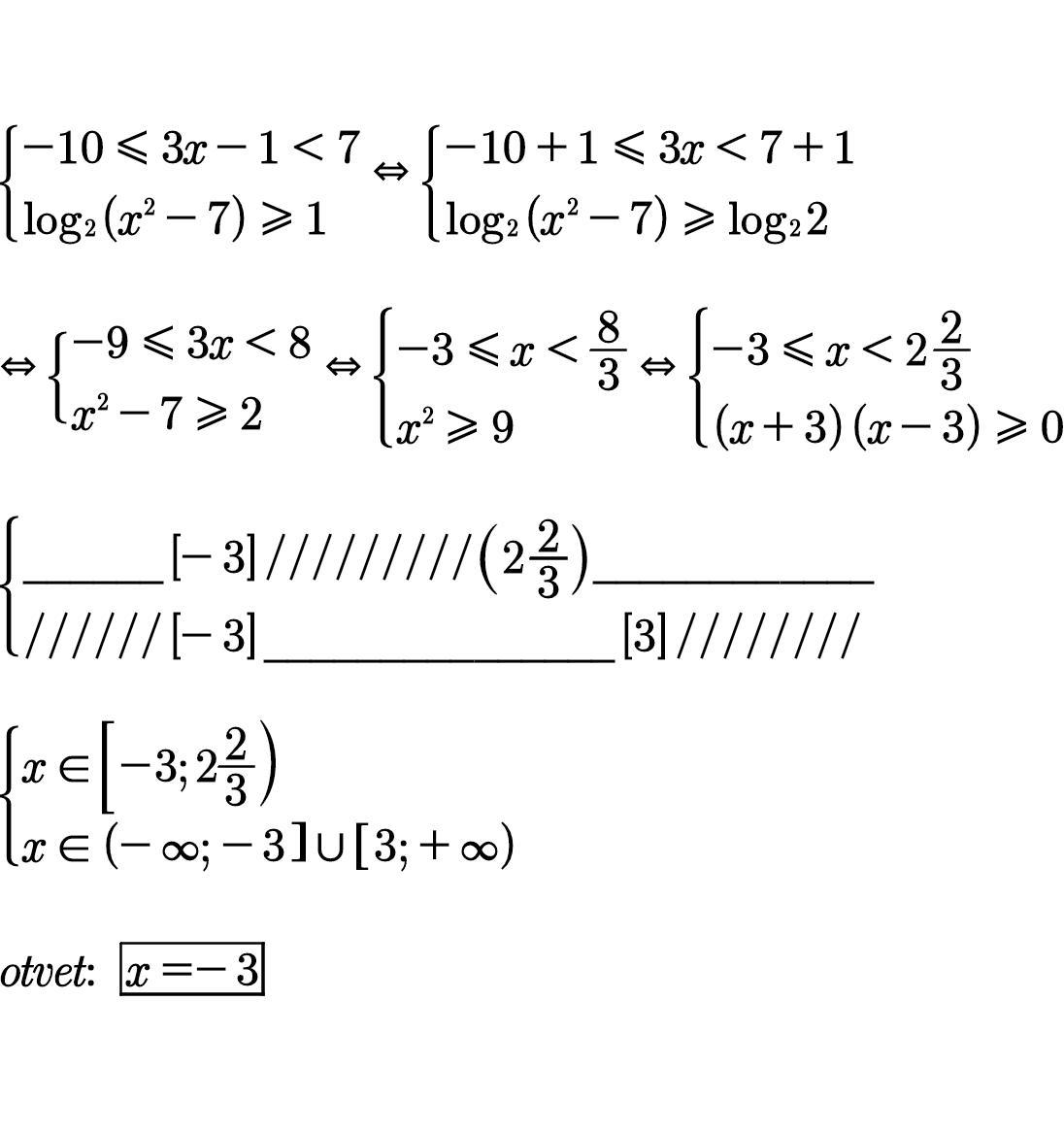
решу каждое отдельно сначала
-10≤3x-1<7-прибавлю везде 1
-9≤3x<8 и разделю все на 3
-3≤x<8/3
второе на подсистему неравенств распадается
x^2-7>0 и x^2-7≥2
x^2>7; x=(-∞;-√7)U(√7;+∞)
x^2≥9; x=(-∞;-3]U[3;+∞)
общий ответ подсистемы х=(-∞;-3]U[3;+∞)
тогда общий ответ системы из пересечения выделенных интервалов
x={-3}
Приложения:

Ответ дал:
2
Ответ:
Объяснение:
...............................
Приложения:

Аноним:
помогите пожалуйста
Вас заинтересует
2 года назад
2 года назад
3 года назад
9 лет назад
9 лет назад