• Предмет: Алгебра
  • Автор: kovalenkoekaterina21
  • Вопрос задан 7 лет назад

помогите пожалуйста решить!!​

Приложения:

Ответы

Ответ дал: vbotalygin
1

Ответ:

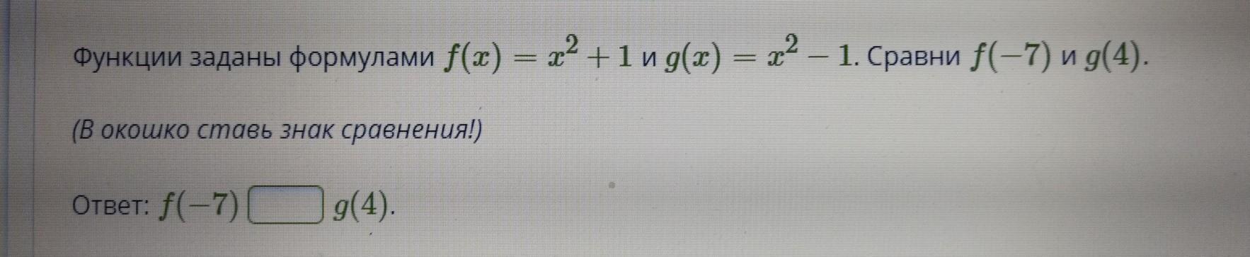
f(-7)>g(4)

Объяснение:

f(x)=x^2+1\\f(-7)=(-7)^2+1=49+1=50\\\\g(x)=x^2-1\\g(4)=4^2-1=16-1=15\\\\50>15\\f(-7)>g(4)

Вас заинтересует