• Предмет: Алгебра
  • Автор: gorobets2016
  • Вопрос задан 7 лет назад

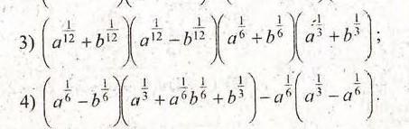
Преобразование выражений, содержащих степени с дробным показателем.​.

Приложения:

cebep1984: Создай задание и выбери 50 баллов решу)

Ответы

Ответ дал: repkabrawlstars20
0

(ab2/12)•(ab2/12)•(ab2/6)•(ab2/3)=ab1/162

знак / это дробь зделал 1 т.к мало балов

Вас заинтересует