Ответы
Ответ дал:
1
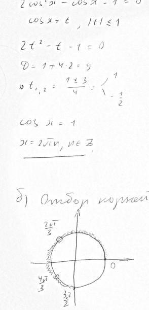
Заменил cosx=t, решил как обычное квадратное уравнение, сделал обратную замену, нашел корни.
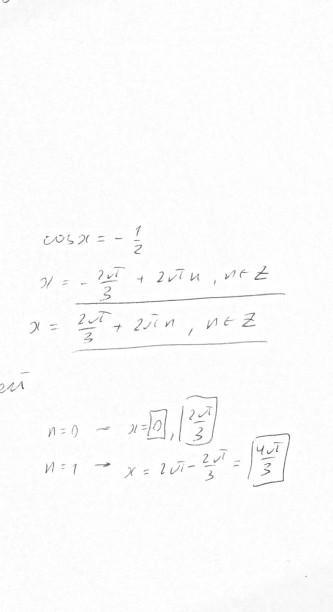
б) Отбор корней по тригонометрической оружности
Заменил cosx=t, решил как обычное квадратное уравнение, сделал обратную замену, нашел корни.
Приложения:



Araikul:
спасибо
Вас заинтересует
2 года назад
3 года назад
9 лет назад