• Предмет: Алгебра
  • Автор: muratovislom07
  • Вопрос задан 7 лет назад

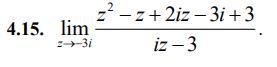
Помогите пожалуйста с решением

Приложения:

Ответы

Ответ дал: sangers1959
1

Объяснение:

\lim_{z \to -3i} \frac{z^2-z+2iz-3i+3}{iz-3} =  \lim_{z \to -3i} \frac{(z^2-z+2iz-3i+3)'}{(iz-3)'} = \lim_{z \to -3i}\frac{2z-1+2i}{i}=\\=\frac{2*(-3i)-1+2i}{i}  =\frac{-6i-1+2i}{i}=\frac{-4i-1}{i} =-4-\frac{1}{i} =-4-\frac{i}{i*i}=-4-\frac{i}{-1}=-4+i.

Вас заинтересует