• Предмет: Химия
  • Автор: yuliayalovenko14
  • Вопрос задан 7 лет назад

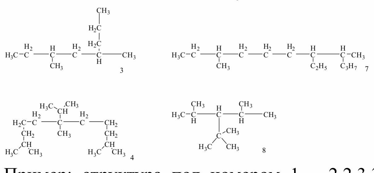
Как называется каждый изомер?

Приложения:

Ответы

Ответ дал: AoiKuro
0

Ответ:

Слева сверху:

3,5-диметилоктан

Справа сверху:

3,8-диметил-7-этилундекан

Слева снизу:

6-изопропил-2,6,10-триметилундекан  или

2,6,10-триметил-6-(метилэтил)ундекан

Справа снизу:

3-изопропил-2,2,4-триметилпентан или

2,2,4-триметил-3-(метилэтил)пентан

Вас заинтересует