• Предмет: Математика
  • Автор: danylosobol7
  • Вопрос задан 7 лет назад

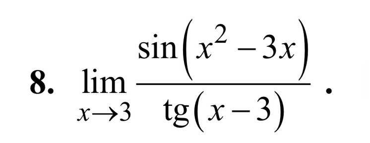
Легкое задание по теме Пределы
Помогите, пожалуйста
Даю 20 баллов!!

Приложения:

Ответы

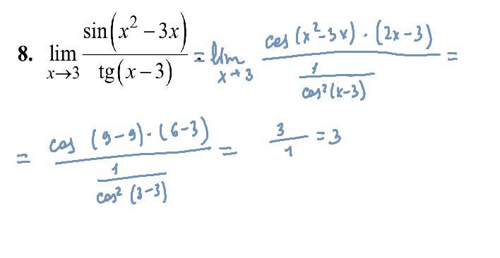
Ответ дал: dashulka22222
0

Ответ:

Пошаговое объяснение:

Приложения:
Вас заинтересует