Ответы
Ответ дал:
0
Ответ:
Пошаговое объяснение:
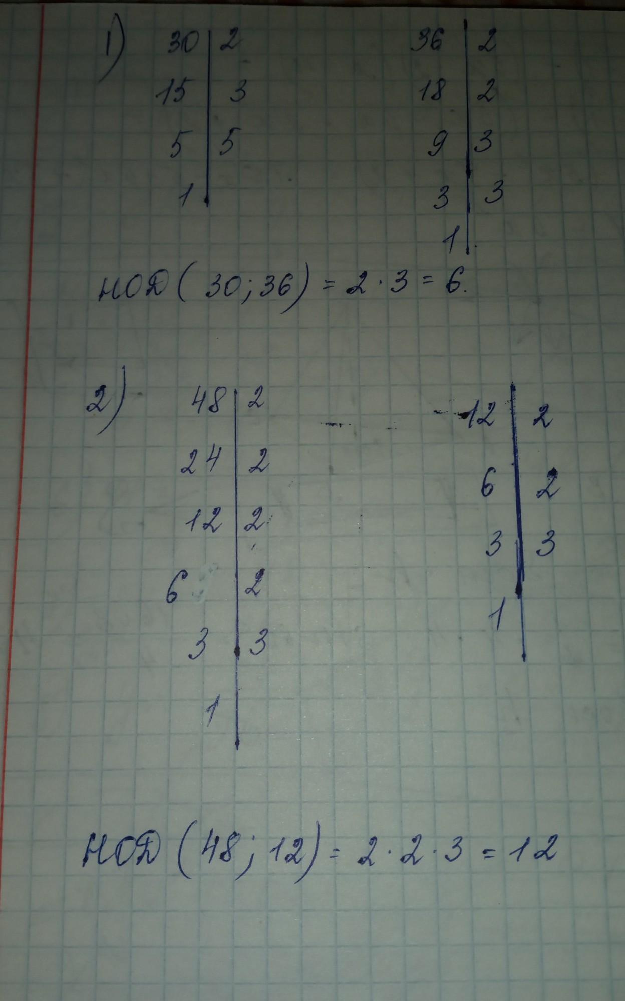
30 и 36
30=2*3*5
36=2*2*3 *3
НОД (30;36)=2*3=6
в) 48 и 12
12 = 2*2*3
48 = 2*2*2*2*3
НОД (12;48)=2*2*3=12
г) 225 и 180
180 = 2*2*3*3*5
225 = 3*3*5*5
НОД (180; 225)=3*3*5=45
Ответ дал:
3
Ответ:
см. вложение.......................
Приложения:


Вас заинтересует
2 года назад
2 года назад
8 лет назад
9 лет назад
9 лет назад