• Предмет: Алгебра
  • Автор: Аноним
  • Вопрос задан 7 лет назад

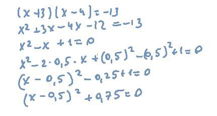
пожалуйста помогите выбрать правильный ответ​

Приложения:

Ответы

Ответ дал: dashulka22222
1

Ответ:

3

Объяснение:

откройте скобки, выделите полный квадрат

Приложения:

Аноним: спасибо большое
Ответ дал: tennist499
1
3 вариант ответа будет правильный
Вас заинтересует