дана последовательность 2,4,8,16 а)запишите формулу общего члена последовательности
б)напишите следующие два члена последовательности
Ответы
Ответ дал:
4
Ответ:
Ответ в файле
Приложения:

ayhaauuwuw:
А почему 2 если последовательность разная?
Ответ дал:
4
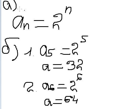
Ответ: - общий член последовательности .
а)
так как отношение последующего члена к предыдущему постоянное число, равное 2, то это геометрическая прогрессия с q=2 и b₁=2 .
Общий член геометрической прогрессии равен .
б)
Вас заинтересует
2 года назад
2 года назад
8 лет назад
9 лет назад