• Предмет: Математика
  • Автор: dkhrudkzdfggh
  • Вопрос задан 7 лет назад

помогите пж с заданием...​

Приложения:

Ответы

Ответ дал: vbotalygin
1

Ответ:

(-5, -2)

Пошаговое объяснение:

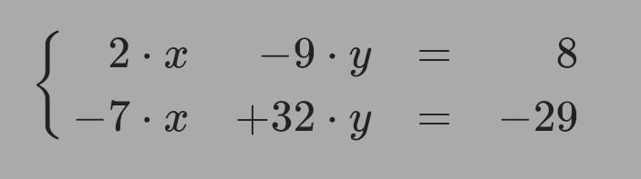
\left \{ {{2x-9y=8} \atop {-7x+32y=-29}} \right.

Умножим левую и правую части первого уравнения на 7, а второго - на 2:

\left \{ {{14x-63y=56} \atop {-14x+64y=-58}} \right.

Сложим первое и второе уравнение:

-63y+64y=56+(-58)\\y=-2

Подставим полученное значение в одно из исходных уравнений (например, в первое):

2x-9*(-2)=8\\2x+18=8\\2x=8-18\\2x=-10\\x=-5

Ответ дал: iramazurk
1

Ответ:

Пошаговое объяснение:

2х - 9у = 8 | : 2

-7х + 32у = -29

х - 4,5у = 4

-7х + 32у = -29

Решим систему методом сложения:

-6х + 27,5у = -25

х - 4,5у = 4

-6х + 27,5у = -25

х = 4 + 4,5у

1)

-6х + 27,5у = -25

-6(4 + 4,5у) + 27,5у = -25

-24 - 27у + 27,5у = -25

-27у + 27,5у = -25 + 24

0,5у = -1

у = -1 : 0,5

у = -2

2)

х = 4 + 4,5у

х = 4 + 4,5*(-2)

х = 4 - 9

х = -5

Ответ: (-5; -2)

Вас заинтересует