• Предмет: Математика
  • Автор: kirnik989
  • Вопрос задан 7 лет назад

срочно 615 дам 20 баллов

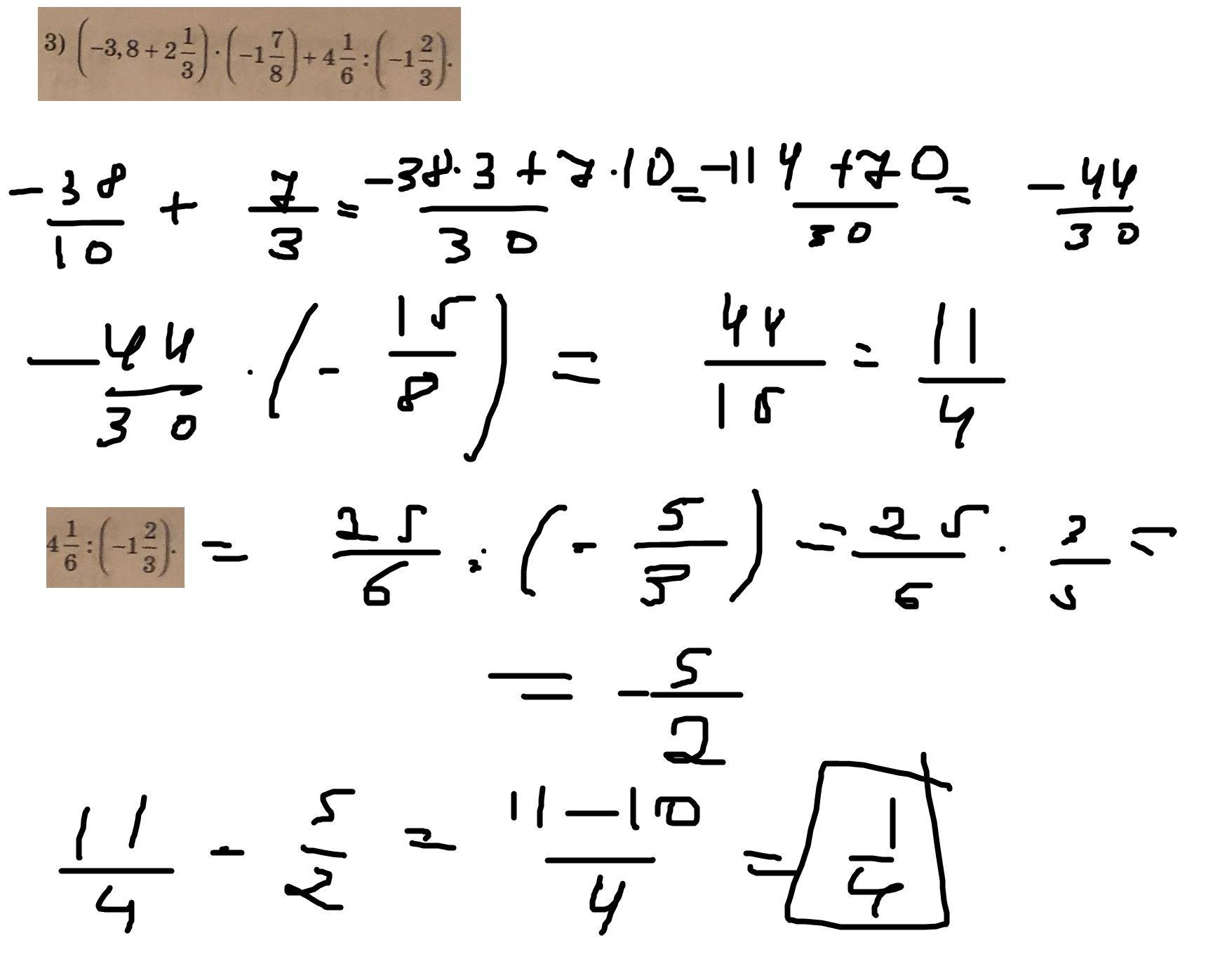
Приложения:

kirnik989: 1) и 2)
zah02: случайно и 3 решил)
kirnik989: спасибо

Ответы

Ответ дал: zah02
0

Ответ:

решение ниже

Пошаговое объяснение:

решение

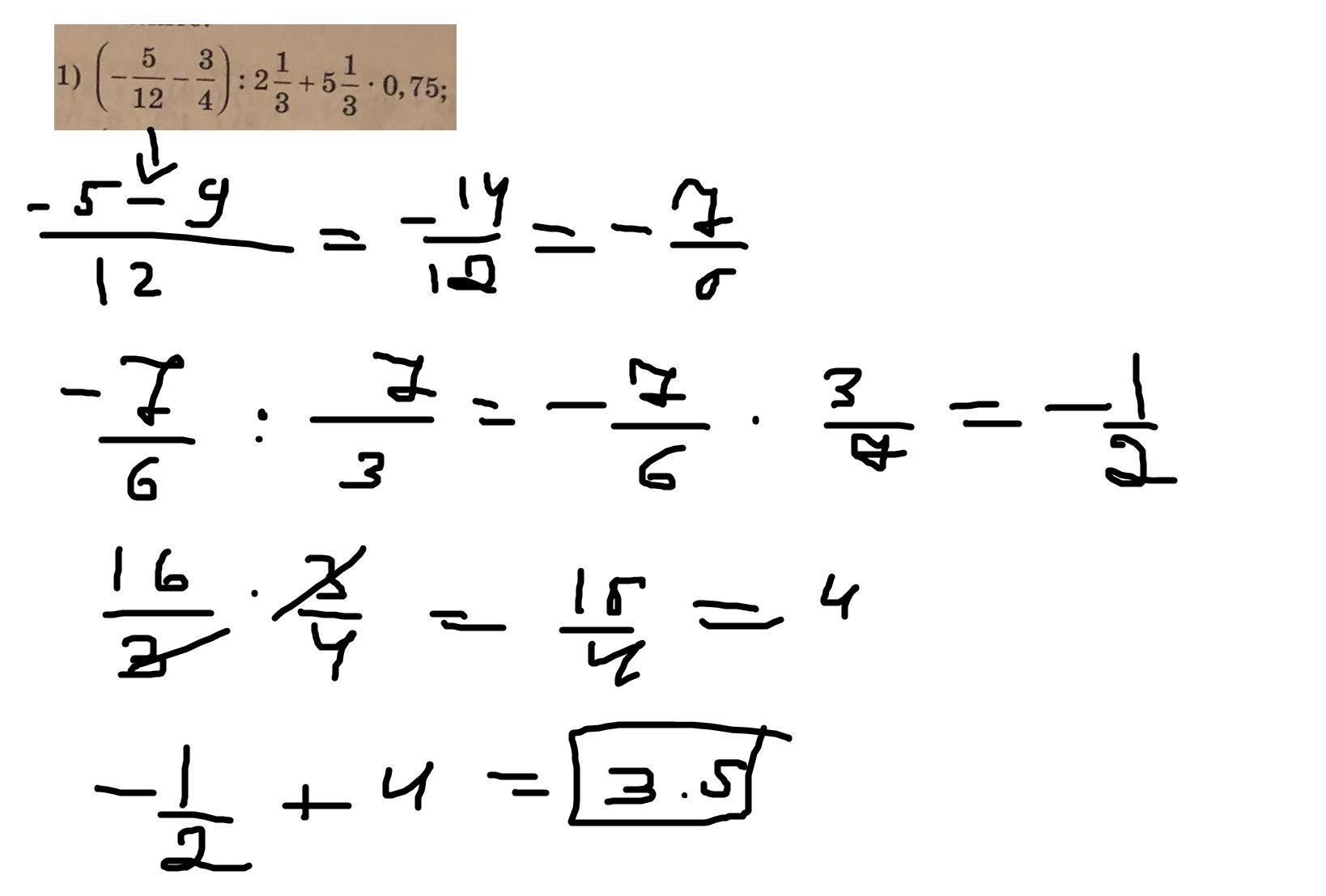
Приложения:

tetamotatetyamotya: Во втором примере вы ошиблись
tetamotatetyamotya: Ответ 5
Ответ дал: tetamotatetyamotya
0

Ответ:вот решение

Пошаговое объяснение:

Приложения:
Вас заинтересует