• Предмет: Математика
  • Автор: albertgamer2931
  • Вопрос задан 7 лет назад

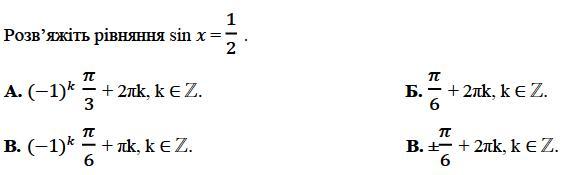
Розв’яжіть рівняння sin =
1
2
.

Приложения:

Ответы

Ответ дал: flower3234
0

Ответ:

B (во втором столбике)

Пошаговое объяснение:

sinα = \frac{1}{2} соответсвует \frac{\pi }{6}

x = ± \frac{\pi }{6} + 2\pi k, k ∈ Z

Вас заинтересует