• Предмет: Алгебра
  • Автор: depressedchild
  • Вопрос задан 7 лет назад

.................................

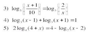
Приложения:

Ответы

Ответ дал: Evreika77
1

Ответ:

Объяснение:

Смотри вложение

Приложения:

depressedchild: боооожеее спасибо большое
Evreika77: Не за что. Места мало- если не понятно что-то -спрашивай
depressedchild: можете пожалуйста ответить на вопрос в прошлых заданиях?? я там спрашивал
Вас заинтересует