• Предмет: Математика
  • Автор: Аняff
  • Вопрос задан 7 лет назад

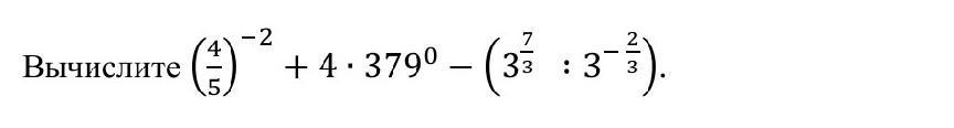
помогите пожалуйста. ​

Приложения:

Ответы

Ответ дал: iosiffinikov
1

Ответ:

14 9/16

Пошаговое объяснение:

(4/5)^(-2)=(5|4)^2=25/16

3^(7/3):(3^(-2/3))=3^(7/3)*(3^(2/3))=3^(9/3)=3^2=9

25/16+9=10 9/16

379^0=1

10 9/16+4=14 9/16

^-возведение в степень

Вас заинтересует