• Предмет: Математика
  • Автор: stronov90
  • Вопрос задан 7 лет назад

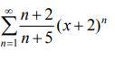
Найти область сходимости ряда

Приложения:

Ответы

Ответ дал: netvilam9
2

Ответ:

радиус сходимости равен 1

Вас заинтересует