Ух. У меня завтра контроша и я нашла в инете вариант, который завтра как раз таки будет завтра на уроке. Решите, пожалуйста. Я нуб в алгебре..(
Блинб.. Можно закрепить только одну фотку. Ладно, тогда в следующем вопросе закреплю вторую.
Приложения:

13Anita13:
спасибоо<3
Ответы
Ответ дал:
1
Ответ:
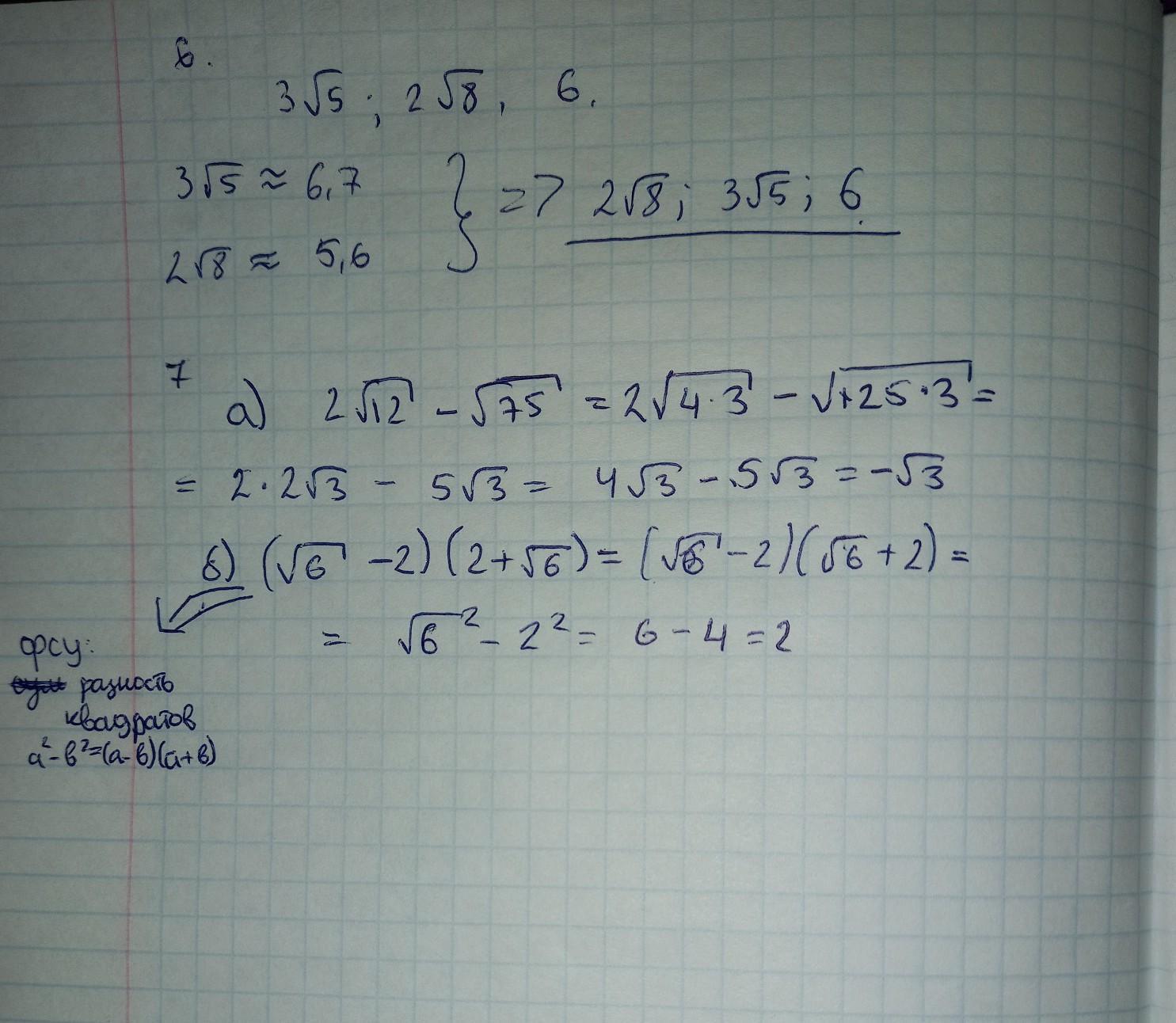
ну тут вроде все понятно, можешь поставить отметку лучший ответ пожалуйста
Приложения:


Вас заинтересует
2 года назад
2 года назад
2 года назад
8 лет назад
9 лет назад