• Предмет: Математика
  • Автор: natasha181881
  • Вопрос задан 7 лет назад

Помогите решить .. ​

Приложения:

Ответы

Ответ дал: dobra888
0

Ответ:

Пошаговое объяснение:

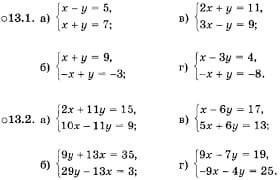
  13.1 .  a)  { x - y = 5 ,

                 { x + y= 7 ;          додаємо рівняння почленно :

                ----------------

                   2х = 12 ;  ---->   x = 12 : 2 ;  ----> x = 6 ;   із ІІ  рівняння маємо :

       x + y = 7 ;  ---->  6 + y = 7 ;  ---->  y = 7 - 6 ;  ----> y = 1 .

    Пара  ( 6 ; 1 )   - розв"язок системи рівнянь .

            в)  { 2x + y = 11 ,

                  { 3x - y = 9 ;       додаємо рівняння почленно :

                 -------------------

                    5x = 20 ;  ---->  x = 20 : 5 ;  ---->   x = 4 ;  із  І  рівняння маємо :

   2x + y = 11 ;  ---->  2*4 + y = 11 ;   ----> 8 + y = 11 ; ----> y = 11 - 8 ; ----> y = 3 .

      Пара  ( 4 ; 3 )   - розв"язок системи рівнянь .

   13 .2 .б)  {  9y + 13x = 35 ,

                  { 29y - 13x = 3  ;        додаємо рівняння почленно :

                   -----------------------

                   38y  =  38 ;  ---->  y = 38 : 38 ;  ----> y = 1 ; із  І  рівняння маємо :

     9y + 13x = 35 ;  ---->  9*1 + 13x = 35 ;  ----> 9 +13x = 35; ----> 13x = 35 - 9 ;

                                             ----> 13x = 26 ; ---->  x = 26 : 13 ;  ----> x = 2 .

         Пара  ( 2 ; 1 )   - розв"язок системи рівнянь .

   г)  { 9x - 7y = 19 ,

        {- 9x - 4y = 25 ;            додаємо рівняння почленно :

                 ----------------------

               - 11y = 44 ; ----> y = 44 : (- 11) ; ---->  y = - 4 ;  із  І  рівняння маємо :

   9x - 7y = 19 ;  ---->  9x - 7*(- 4) = 19 ; ----> 9x +28 = 19 ;  ----> 9x = 19 - 28 ;

                          ---->  9x = - 9 ;  ---->   x = - 9 : 9 ;  ---->   x = - 1 .

          Пара  ( - 1 ;- 4 )   - розв"язок системи рівнянь .

     ІНШІ  приклади рішати аналогічно .

   

               

Вас заинтересует