• Предмет: Математика
  • Автор: slwkdj
  • Вопрос задан 7 лет назад

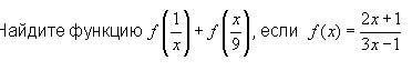
помогите решить, пожалуйста ​

Приложения:

Ответы

Ответ дал: plogvinenko05
0

Ответ:

Пошаговое объяснение:

просто подставь в функцию f(x) те два значения 1/x and x/9 и упрости, мне лень это все прописывать

Вас заинтересует