• Предмет: Алгебра
  • Автор: arteman11077
  • Вопрос задан 7 лет назад

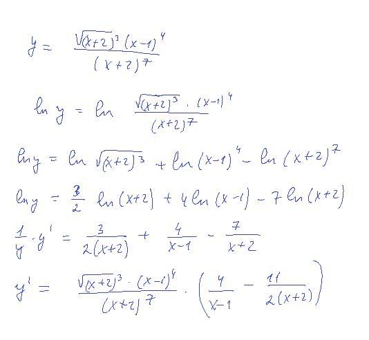
Помогите решить 14.13.Найти производную функции

Приложения:

dashulka22222: логарифмическую производную можно использовать?
arteman11077: да

Ответы

Ответ дал: dashulka22222
1

Ответ:

логарифмическая производная

Объяснение:

Приложения:

arteman11077: спасибо, у меня там тоже есть номера которые я не смог решить, сможешь если не трудно помочь и с теми
Вас заинтересует