Ответы
Ответ дал:
0
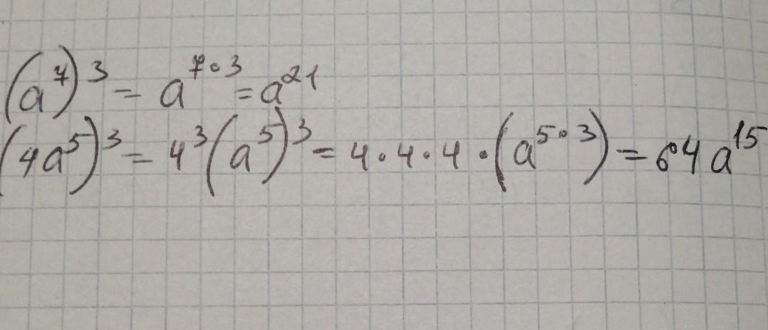
1) (а⁷)³
= а ⁷׳
= а²¹
2) (4а⁵)³
= 4³ × ( а⁵)³
= 64 × (а⁵)³
= 64а¹⁵.
Ответ дал:
2
Ответ:
На фото
Объяснение:
На фото
Удачи))))
Приложения:

Вас заинтересует
2 года назад
2 года назад
8 лет назад
9 лет назад