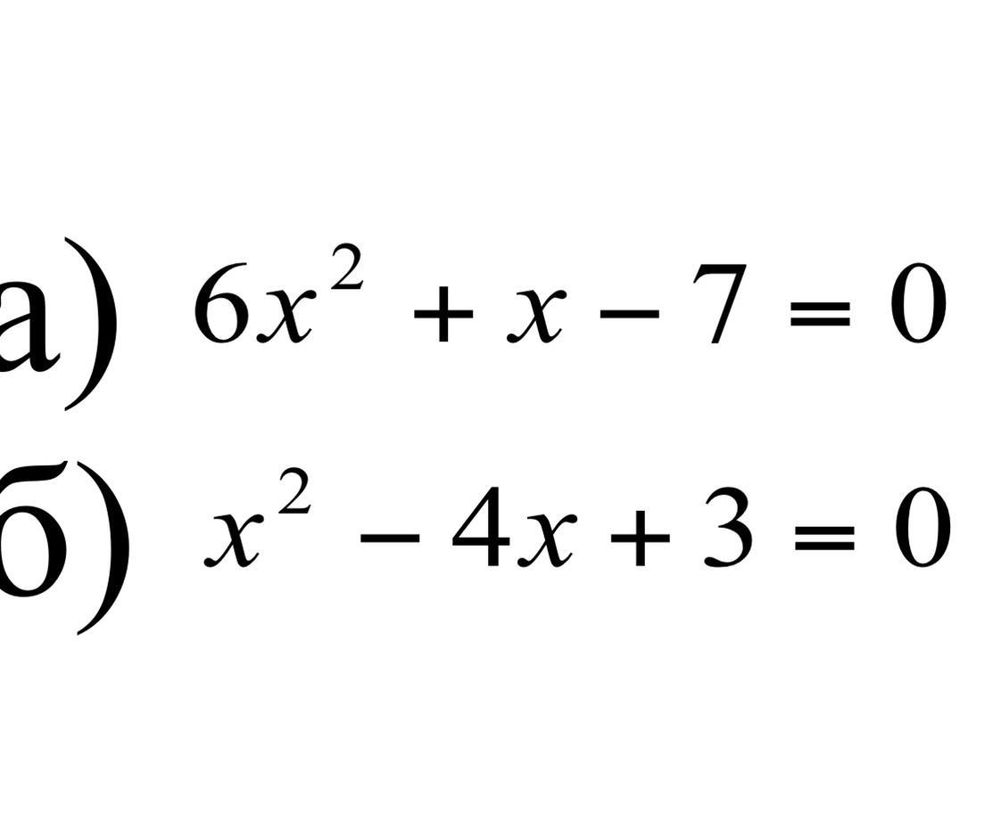
Определите, сколько корней имеет каждое уравнение, и найдите корни, если они существуют. Пожалуйста
Приложения:

Ответы
Ответ дал:
2
Решение будет таким !!
Приложения:

Вас заинтересует
2 года назад
2 года назад
2 года назад
8 лет назад
8 лет назад