• Предмет: Математика
  • Автор: Miro200
  • Вопрос задан 7 лет назад

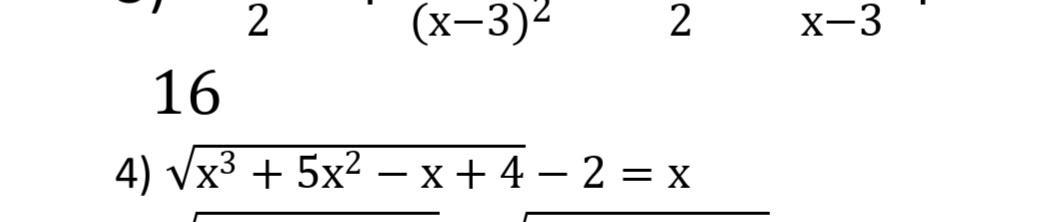
Помогите решить 4 номер за ранее спасибо
25 балов

Приложения:

Ответы

Ответ дал: badswitch
1

Ответ:

x1=0,x2=1

Пошаговое объяснение:

корень (X^3+5x^2-x+4)=x-2

возводим в квадрат чтобы избавиться от корня тогда правая часть это формула сокращенного умножения

X^3+5x^2-x+4=x^2+4х+4

X^3+5x^2-x=x^2+4х

переносим все в левую часть и находим подобные

х^3+4х^2-5х=0

можем представить в виде

х(х+5)(х-1)=0

имеем три решения

х=0

х=-5 (если подставим числа в уравнение увидим что

-5 не подходит )

х=1

Ответ х=0,х=1


badswitch: если понравилось решения лайкни и отметь лучшим ответом чтобы другие увидели
Вас заинтересует