• Предмет: Математика
  • Автор: sergeevdanil2020
  • Вопрос задан 7 лет назад

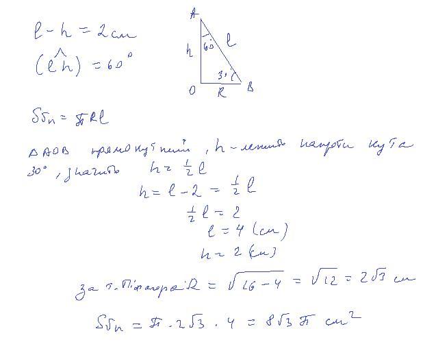
Різниця між довжиною твірної та висотою конуса
дорівнює 2 см, а кут між ними — 60°. Знайдіть
площу бічної поверхні конуса

Ответы

Ответ дал: dashulka22222
1

Ответ:

Пошаговое объяснение:

Приложения:
Вас заинтересует